My research centres on several themes related to the evolution of protoplanetary discs, the birthplaces of planets around stars in the first few million years of their life.
**PAGE UNDER CONSTRUCTION**
Inner Disc Chemistry
Since its launch, JWST has been revealing the chemistry of the inner regions of protoplanetary discs in unprecedented detail. The properties can be very diverse: cases exist where water, CO2 or hydrocarbons are the most prominent molecules present. I have been supporting the MINDS collaboration on the interpretation of these results. In connection with this, I have been conducting modelling to understand how these variations are connected to the global evolution of the disc, for example due to the timescales on which different molecules are expected to reach the inner disc after sublimating from inwardly drifting dust grains.
Relevant works:
Sellek, Vlasblom & van Dishoeck (2025)
Sellek & van Dishoeck (2025)
Discs around Very Low Mass Stars
I am a co-investigator on the DMOST ALMA Cycle 12 Large Program and will be leading a project on the gas evolution of the discs.
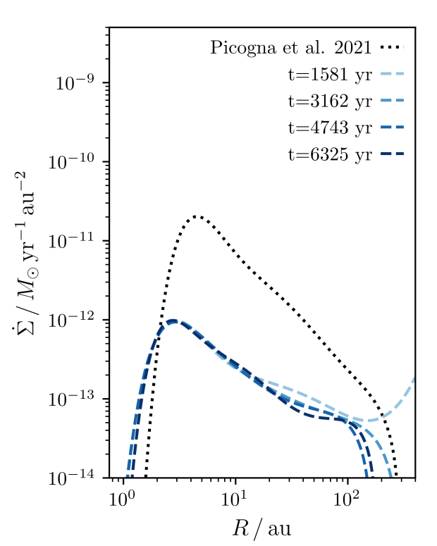
Internal Photoevaporation
Heating of the upper layers of the disc by high energy radiation – specifically X-rays and UV – from the star can drive a wind from the disc surface. This has long been thought of a key contribution to the final dispersal of discs, however models have long lacked consensus, for example, on the strength of the wind. Using simulations of thermochemistry calculated on the fly with hydrodynamics, we have uncovered the origins of these discrepancies – such as the choice of X-ray spectrum and the available coolants. We are now using these simulations to update the mass-loss prescriptions for disc evolution models in light of our new understanding.
Relevant works:
Sellek et al. (2024b)
Sellek, Clarke & Ercolano (2022)
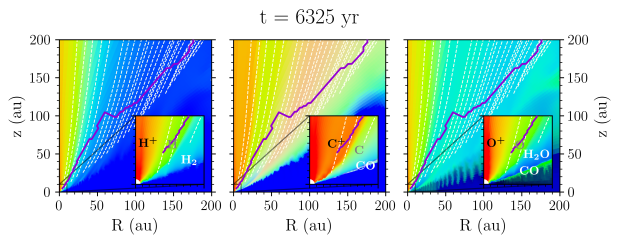
Synthetic Disc Wind Observations
For many discs, there is evidence for a wind removing mass. However, in many cases it remains ambiguous whether they are launched purely due to photoevaporation or whether magnetic fields also play a role – a question which has important consequences for understanding the accretion of the disc onto the star and its ultimate dispersal. JWST provides the opportunity to characterise both the ionized (with [Ne II], [Ne III], and [Ar II]) and molecular (with H2) parts of the wind. By comparing to simulated observations of winds under different conditions, we are constraining the extent, density, and temperature of the wind, which in turn inform us about the launching mechanisms.
Relevant works:
Bajaj et al. (2024)
Sellek et al. (2024a)
Environmental Impacts
Discs which evolve in denser clusters can undergo a range of environmental impacts, for example the stronger UV fields provided by nearby O/B stars can remove material from the outer disc, known as “External Photoevaporation”. I am interested in how effects of this environmental UV radiation impact the disc by coupling temperature and mass-loss prescriptions with disc evolution models that track the evolution of the disc gas and dust as well as the disc composition.
Relevant works:
Sellek, Booth & Clarke (2020a)
Qiao, Haworth, Sellek & Ali (2022)







